Pedigrees Practice - Sickle Cell
In humans, sickle cell disease is recessive. Individuals with sickle cell have irregular shaped blood that does not flow normally within the blood vessels. This can lead to tissues not getting enough oxygen and blood clots. Those who are carriers for sickle cell do not have major symptoms, but a simple test can reveal if a person is a carrier.
1. Given the following genotypes, describe the phenotypes as either normal, carrier, or sickle cell disease.
AA = ________________________________
Aa = ________________________________
aa = ________________________________
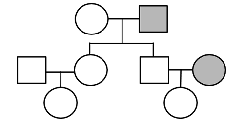
2. Examine the pedigree chart shown below. For each individual, write the genotype in the square or circle. Use the following notation:
AA, Aa, aa.
Use A _ to indicate the genotype cannot be determined.

3. How many children did the orginal couple have? ________
What is the sex of the middle child? _____
4. Should the middle child be tested for sickle cell trait? Why or why not?
5. Examine the pedigree below. Write the genotype for each individual in the family.

6. The two children of the original couple are both carriers. How do you know?
Other Resources
Human Genetic Disorders - Pedigree Charts
Analyzing Pedigrees of Sickle Cell Inheritance
Pedigrees Practice for AP Biology
Exploring Autosomal Dominant Traits
