Pedigrees Practice - AP Biology
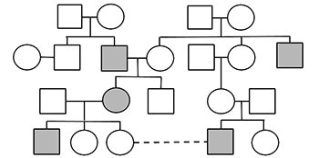
The disorder shown on the pedigree is Maple Syrup Urine Disease (MSUD) which is a metabolic disorder that affects the body’s ability to process certain proteins. It was named after a distinctive odor of a baby’s urine.

1. What is the inheritance pattern of this gene?
a) autosomal dominant
b) autosomal recessive
c) X-linked dominant
d) X-linked recessive
2. Provide at least one piece of evidence for your claim.
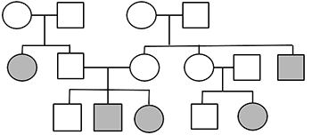
This pedigree shows the inheritance Leber congenital amaurosis ( LCA ) which is a type of hereditary blindness. Individuals with this disease lose their vision during childhood.

3. What is the inheritance pattern shown?
4. Highlight one individual whose genotype is unknown. What additional information would you need to determine his/her genotype?
Marfan syndrome affects the connective tissue and causes individuals to have long, thin, arms, legs, fingers and toes.

5. What is the inheritance pattern shown?
6. Provide at least one piece of evidence for your claim.
7. Consider the children labeled “1,2,3.” Would you expect any of these individuals to have children of their own with Marfan Syndrome? Explain.
Charcot–Marie–Tooth disease ( CMT )causes motor and sensory neuropathies of the peripheral nervous system characterized by progressive loss of muscle tissue and touch sensation across various parts of the body.

8. What is the inheritance pattern shown?
9. Provide at least one piece of evidence for your claim.
10. The dashed line represents a possible union. Discuss the probability that such a union would result in a child with CMT.
Cystic fibrosis is a disease that affects the ability of cells to move sodium across the cell membrane. This causes mucus to build up in the lungs resulting in respiratory problems.

11. What is the inheritance pattern shown?
12. Provide at least one piece of evidence for your claim.
Other Resources
Analyzing Human Pedigrees (Basic)
Human Genetic Disorders - Pedigree Charts


