
Read and solve each of the following problems. Be sure to show all of your work (given, equation, work, and answer with the proper units)
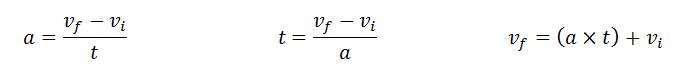
Acceleration Equations:
1. A skier takes off from the top of the ski run and reaches a speed of 24 m/s in 4 seconds. What is the skier’s acceleration?
(Assume that starting velocity = 0)
Given:Equation & Work:
vi =
vf =
t =
a =
Answer _________________

2. A child on a skateboard is traveling at a velocity of 8 m/s down a hill. At the bottom of the hill, he slows down and comes to a stop in 4 seconds. Calculate the sled’s deceleration
Given: Equation & Work:
vi =
vf =
t =
a =
Answer _________________
3. A girl is walking a dog at a pace of 2 m/s. When the dog sees a squirrel it takes off running and reaches a speed of 5 m/s in 3 seconds. What was the dog's acceleration?
Given: Equation & Work:
vi =
vf =
t =
a =
Answer _________________
4. A skydiver jumps out of a plane and as he falls he has an acceleration of 10 m/s2. How many seconds will it take to reach a speed of 30 m/s?
Given: Equation & Work:
vi =
vf =
t =
a =
Answer _________________
5. A family of ducks is swimming in a pond at a speed of 3 m/s when a gust of wind hits them. By the time they reach the other side of the lack, the ducks are moving at a speed of 7 m/s. How long did it take for them to cross the lake if they accererated at a rate of 1 m/s2
Given: Equation & Work:
vi =Answer _________________
6. A police car is traveling at a speed of 50 meters per second when it suddenly accelerates at a rate of 5 m/s2. How fast will the car be going (final velocity) if it maintains that acceleration for 30 seconds.
Given: Equation & Work:
vi =
vf =
t =
a
Answer _________________
7. Design a question of your own that will ask another person to solve for either acceleration, final velocity, or time. Be sure that you have all of the information necessary to solve the problem. Write it as a word problem, similar to the ones on this page.