Organic Chemistry
Organic Compounds
- have carbon bonded to other atoms and determine structure/function of living
things
What are inorganic compounds? Organic compounds are compounds primarily composed of carbon atoms bonded to hydrogen, along with other elements such as oxygen, nitrogen, sulfur, phosphorus.
Organic compounds features:
Carbon-based Structure: Organic compounds primarily consist of carbon atoms, often forming the backbone of the molecule. These carbon atoms can form long chains, rings, or branched structures due to their ability to bond with other carbon atoms and various other elements.
Covalent Bonding: The bonds in organic compounds are predominantly covalent, where atoms share electrons to form stable structures. Carbon commonly bonds with hydrogen, oxygen, nitrogen, and other elements to create diverse molecules.
Functional Groups: Organic compounds often contain functional groups, specific arrangements of atoms that give each molecule its unique properties and chemical reactivity. Examples include hydroxyl (-OH), carbonyl (C=O), amino (-NH2), and carboxyl (-COOH) groups, among others.
Variety of Molecules: Organic compounds encompass a vast array of molecules with diverse sizes, shapes, and functions. They range from simple molecules like methane and ethane to complex structures such as proteins, DNA, and carbohydrates.
Found in Living Organisms: Organic compounds serve as the building blocks of life. They constitute essential biological molecules like carbohydrates for energy, lipids for cell membranes, proteins for structural and functional roles, and nucleic acids for genetic information.
Functional Groups
Attached to the carbon skeleton is a FUNCTIONAL GROUP- which is the area that participates in chemical reactions
| Functional Group | Name of compounds | Functions | |
| Hydroxyl | -OH | Alcohols | hydrophilic, polar |
| Carbonyl | -CO | Aldehydes
(when the =O occurs at the end of chain) Ketones (when the =O occurs in the middle of chain) |
hydrophilic, polar |
| Carboxyl | -COOH | Carboxylic Acids | act as acids, donate protons |
| Amino | -NH2 | Amines | act as bases, accept protons |
MACROMOLECULES fall into four major groups
1. Carbohydrates 2. Lipids 3. Proteins 4. Nucleic Acids
1. CARBOHYDRATES
monosaccharides - simple ring sugars, ex:
disaccharides - two monosaccharides combined, ex:
polysaccharides - polymers (long chains of repeating units) of monosaccharides,
starch (plant energy storage)
glycogen (animal energy storage)
cellulose - structural molecule, plant cell walls
chitin - structural molecule, exoskeletons
pentoses - five carbon sugars; deoxyribose & ribose (DNA)
2. Lipids

Hydrophobic (insoluble in water)
Fats & Oils are made of subunits - glycerol and fatty acids
Waxes – mainly used for covering and protection
Phospholipids - Important structural component of the cell membrane
Steroids - cholesterol & sex hormones
(estrogen & testosterone) – made of 4 fused rings
*Saturated fats contain no double bonds, unsaturated have double bonds that “kink” the molecule
*Saturated fats solidify at room temperature; unsaturated fats are liquid at room temperature
What is a trans fat? - "trans" refers to the configuration of hydrogen atoms on either side of the double bond in the fatty acid molecule. In trans fats, the hydrogen atoms are on opposite sides of the double bond, which gives these fats a more linear structure.
3. Proteins
- Polymers made of amino acids, which are joined by peptide bonds - proteins are also called polypeptides
- Amino acids form a wide variety of structures, mainly building blocks for living tissue
- Proteins can be denatured:
Proteins have four shapes:
- primary (linear sequence)
- secondary (alpha and beta sheets)
- tertiary (3D shape)
- quaternary (multiple chains)
4. Nucleic Acids

- Informational polymers made of individual nucleotides
- DNA (deoxyribonucleic acid) & RNA (ribonucleic acid)
Each nucleotide consists of:: sugar, phosphate, base
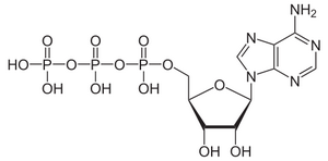
ATP (adenosine triphosphate) -
Molecule of ATP stores energy